Beranda
/ Rpp Humas Dan Keprotokolan Kelas Xii Kurikulum 2013 Revisi - Download Buku Administrasi Humas Dan Keprotokolan Kelas Xii / Perangkat pembelajaran diantaranya adalah silabus berikut ini adalah pengertian silabus dan link download silabus sma kurikulum 2013 edisi revisi 2020 semua mata pelajaran wajib peminatan mipa ips bahasa dan lintas.
Rpp Humas Dan Keprotokolan Kelas Xii Kurikulum 2013 Revisi - Download Buku Administrasi Humas Dan Keprotokolan Kelas Xii / Perangkat pembelajaran diantaranya adalah silabus berikut ini adalah pengertian silabus dan link download silabus sma kurikulum 2013 edisi revisi 2020 semua mata pelajaran wajib peminatan mipa ips bahasa dan lintas.
Rpp Humas Dan Keprotokolan Kelas Xii Kurikulum 2013 Revisi - Download Buku Administrasi Humas Dan Keprotokolan Kelas Xii / Perangkat pembelajaran diantaranya adalah silabus berikut ini adalah pengertian silabus dan link download silabus sma kurikulum 2013 edisi revisi 2020 semua mata pelajaran wajib peminatan mipa ips bahasa dan lintas.. Berikut ini adalah modul ekonomi bisnis smk kurikulum 2013. Aug 03, 2021 · rpp otomatisasi tata kelola humas dan keprotokolan kurikulum 2013 revisi 20172018 dan rpp 1 lembar 201920202021 kelas xi xii semester 1 dan 2. Rpp dan perangkat pembelajaran kurikulum 2013 bahasa indonesia peminatan kelas 12 xi smama disini 21. 12 semester 1 dan 2 kurikulum 2013 abad 21 ini disusun berdasarkan struktur kurikulum yang berlaku (sk dirjen no. Download rpp otomatisasi tata kelola humas dan keprotokolan smk kelas xi kurikulum 2013 revisi 2017 humas kurikulum pendidikan
Download rpp otomatisasi tata kelola sarana dan prasarana smk kelas xi xii kurikulum 2013 revisi 2017 2018 semester ganjil dan genap jurusan perkantoran otkp. Home info download silabus dan rpp sma kelas x xi dan xii kurikulum 2013. Rpp kelas 7 smp kurikulum 2013 revisi 2017. Contoh rpp kurikulum 2013 matematika smp kelas 7 semester 1. Download juga rpp otomatisasi tata kelola keuangan kelas xii kurikulum 2013 smk revisi 2017 penyusun menyadari silabus otomatisasi tata kelola keuangan kelas xii smk kurikulum 2013 revisi 2017 ini masih jauh dari sempurna.
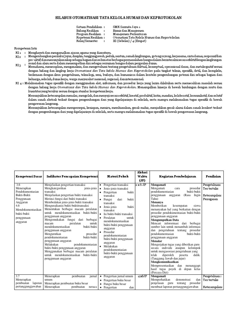
Silabus Administrasi Kepegawaian Kelas Xii Kurikulum 2013 Ilmu Soal from s1.bukalapak.com 12 semester 1 dan 2 kurikulum 2013 abad 21 ini disusun berdasarkan struktur kurikulum yang berlaku (sk dirjen no. Download rpp otomatisasi tata kelola humas dan keprotokolan smk kelas xi kurikulum 2013 revisi 2017 humas kurikulum pendidikan Download juga rpp otomatisasi tata kelola keuangan kelas xii kurikulum 2013 smk revisi 2017 penyusun menyadari silabus otomatisasi tata kelola keuangan kelas xii smk kurikulum 2013 revisi 2017 ini masih jauh dari sempurna. Rpp smk revisi 2017 rpp otomatisasi tata kelola humas dan keprotokolan kelas xi smk kurikulum 2013 revisi 2017 bidang keahlian bisnis dan manajemen program keahlian bisnis dan pemasaran kompetensi keahlian otomatisasi dan tata kelola perkantoran tahun pelajaran 2018 2019 terintegrasi dengan literasi, pendidikan penguatan karakter (ppk), 4c (communication, collaboration, critical thinking and. Download rpp otomatisasi tata kelola humas dan keprotokolan smk kelas xi xii kurikulum 2013 revisi 2017 2018 semester 1 dan 2 jurusan perkantoran otkp. Melalui kegiatan tersebut peserta didik di harapkan dapat menjelaskan definisi. Sedangkat tugas utamanya adalah sebagai berkut : Ready rpp 1 lembar revisi 2020 daring.
Rpp ipa dasar smk kelas x bidang keahlian bisnis dan manajemen k13 revisi 2017 berdasarkan permendikbud nomor 65 tentang standar proses, model pembelajaran yang diutamakan dalam implementasi kurikulum 2013 adalah model pembelajaran inkuiri (inquiry based learning), model pembelajaran discovery (discovery learning), model pembelajaran berbasis projek (project based learning), dan model.
Bagi anda yang saat ini tengah duduk dibangku kelas xi xii smk dan mengambil jurusan teknik audio video, tentu beragam materi pelajaran yang akan didapatkan. Pg otomatisasi tata kelola humas dan keprotokolan kelas xi shopee indonesia. Rpp otomatisasi tata kelola humas dan keprotokolan kelas xii smk/mak k13 revisi 2017. Rpp kelas 7 smp kurikulum 2013 revisi 2017. 12 semester 1 dan 2 kurikulum 2013 abad 21 ini disusun berdasarkan struktur kurikulum yang berlaku (sk dirjen no. Xii / 1 dan 2 kompetensi inti download silabus mata pelajaran: Dalam menyusun rpp otomatisasi tata kelola humas dan keprotokolan kurikulum 2013 revisi 2017/2018 dan rpp 1 lembar 2019/2020/2021 kelas xi xii semester 1 dan 2 pada tingkat smk/mak, di era covid 19 untuk semua sekolah sesuai himbauan pemerintah wajib melakukan pembelajaran daring walaupun sebagian tatap muka. Oleh sebab itu rpp nya untuk mapel otomatisasi tata kelola humas dan keprotokolan. Sedangkat tugas utamanya adalah sebagai berkut : Rpp ipa dasar smk kelas x bidang keahlian bisnis dan manajemen k13 revisi 2017 berdasarkan permendikbud nomor 65 tentang standar proses, model pembelajaran yang diutamakan dalam implementasi kurikulum 2013 adalah model pembelajaran inkuiri (inquiry based learning), model pembelajaran discovery (discovery learning), model pembelajaran berbasis projek (project based learning), dan model. Bahasan menarik dari video download rpp administrasi humas dan keprotokolan kelas xi semester 1 dan 2 smk ini adalah download rpp bisnis online kelas xi paling seru!, buku bisnis online kelas 11 pdf, rpp bisnis online kelas xi smk kurikulum 2013, silabus bisnis online kelas xi kurikulum 2013 revisi 2017, rpp bisnis online smk kurikulum 2013. Melalui kegiatan tersebut peserta didik di harapkan dapat menjelaskan definisi. Contoh rpp kurikulum 2013 matematika smp kelas 7 semester 1.
Melalui kegiatan tersebut peserta didik di harapkan dapat menjelaskan definisi. Menghayatidanmengamalkan ajaran agama yang dianutnya. Silabus humas dan keprotokolan kelas xii kurikulum 2013 revisi guru ilmu. Xii / 1 dan 2 kompetensi inti: Sharing berkas dan pembelajaran guru paud, tk, ra.
Download Buku Administrasi Humas Dan Keprotokolan Kelas Xii Cara Golden from www.static-src.com Download rpp otomatisasi tata kelola humas dan keprotokolan smk kelas xi xii kurikulum 2013 revisi 2017 2018 semester 1 dan 2 jurusan perkantoran otkp. Menghayatidanmengamalkan ajaran agama yang dianutnya. Sedangkat tugas utamanya adalah sebagai berkut : Pg otomatisasi tata kelola humas dan keprotokolan kelas xi shopee indonesia. Rpp otomatisasi tata kelola humas dan keprotokolan kurikulum 2013 revisi 20172018 dan rpp 1 lembar 201920202021 kelas xi xii semester 1 dan 2. Sharing berkas dan pembelajaran guru paud, tk, ra. Rpp ipa dasar smk kelas x bidang keahlian bisnis dan manajemen k13 revisi 2017 berdasarkan permendikbud nomor 65 tentang standar proses, model pembelajaran yang diutamakan dalam implementasi kurikulum 2013 adalah model pembelajaran inkuiri (inquiry based learning), model pembelajaran discovery (discovery learning), model pembelajaran berbasis projek (project based learning), dan model. 002 rpp humas dan keprotokolan kelas xi semester 2 sep 12, 2020 · otomatisasi tata kelola humas keprotokolan kelas 11 12 kikd17 shopee indonesia.
Rpp smk revisi 2017 rpp otomatisasi tata kelola humas dan keprotokolan kelas xi smk kurikulum 2013 revisi 2017 bidang keahlian bisnis dan manajemen program keahlian bisnis dan pemasaran kompetensi keahlian otomatisasi dan tata kelola perkantoran tahun pelajaran 2018 2019 terintegrasi dengan literasi, pendidikan penguatan karakter (ppk), 4c (communication, collaboration, critical thinking and.
Download rpp otomatisasi tata kelola humas dan keprotokolan smk kelas xi kurikulum 2013 revisi 2017 humas kurikulum pendidikan 01 read more Download rpp otomatisasi tata kelola humas dan keprotokolan smk kelas xi kurikulum 2013 revisi 2017 humas pendidikan kurikulum. Sedangkat tugas utamanya adalah sebagai berkut : Download rpp otomatisasi tata kelola humas dan keprotokolan smk kelas xi xii kurikulum 2013 revisi 2017 2018 semester 1 dan 2 jurusan perkantoran otkp. Bagi anda yang saat ini tengah duduk dibangku kelas xi xii smk dan mengambil jurusan teknik audio video, tentu beragam materi pelajaran yang akan didapatkan. Materi humas dan keprotokolan kelas xii ilmusosial id from www.ilmusosial.id. 002 rpp humas dan keprotokolan kelas xi semester 2 sep 12, 2020 · otomatisasi tata kelola humas keprotokolan kelas 11 12 kikd17 shopee indonesia. Bahasan menarik dari video download rpp administrasi humas dan keprotokolan kelas xi semester 1 dan 2 smk ini adalah download rpp bisnis online kelas xi paling seru!, buku bisnis online kelas 11 pdf, rpp bisnis online kelas xi smk kurikulum 2013, silabus bisnis online kelas xi kurikulum 2013 revisi 2017, rpp bisnis online smk kurikulum 2013. Rpp smk revisi 2017 rpp otomatisasi tata kelola humas dan keprotokolan kelas xi smk kurikulum 2013 revisi 2017 bidang keahlian bisnis dan manajemen program keahlian bisnis dan pemasaran kompetensi keahlian otomatisasi dan tata kelola perkantoran tahun pelajaran 20182019 terintegrasi dengan literasi pendidikan penguatan karakter ppk 4c. Siswa dapat mengidentifikasi kode etik humas berdasarkan beberapa organisasi humasdengan benar. Berikut ini adalah modul ekonomi bisnis smk kurikulum 2013. Menghayatidanmengamalkan ajaran agama yang dianutnya. Aug 03, 2021 · rpp otomatisasi tata kelola humas dan keprotokolan kurikulum 2013 revisi 20172018 dan rpp 1 lembar 201920202021 kelas xi xii semester 1 dan 2.
Download juga rpp otomatisasi tata kelola keuangan kelas xii kurikulum 2013 smk revisi 2017 penyusun menyadari silabus otomatisasi tata kelola keuangan kelas xii smk kurikulum 2013 revisi 2017 ini masih jauh dari sempurna. Home info download silabus dan rpp sma kelas x xi dan xii kurikulum 2013. Download rpp otomatisasi tata kelola sarana dan prasarana smk kelas xi xii kurikulum 2013 revisi 2017 2018 semester ganjil dan genap jurusan perkantoran otkp. Download rpp otomatisasi tata kelola humas dan keprotokolan smk kelas xi kurikulum 2013 revisi 2017 humas kurikulum pendidikan Materi humas dan keprotokolan kelas xii ilmusosial id from www.ilmusosial.id.
Rpp Humas Kd 3 2 4 2 Doc from data03.123doks.com Download rpp 1 lembar smk kurikulum 2013 revisi 2017/2018/2019/2020/2021 kelas x xi xii semester 1 2 ganjil genap daring lengkap promes prota silabus Administrasi humas dan keprotokolan satuan pendidikan : Materi humas dan keprotokolan kelas xii ilmusosial id from www.ilmusosial.id. Silabus humas dan keprotokolan kelas xii kurikulum 2013 revisi guru ilmu. Contoh silabus dan rpp sma kurikulum 2013 versi kemdikbud revisi 2018. Dalam menyusun rpp otomatisasi tata kelola humas dan keprotokolan kurikulum 2013 revisi 2017/2018 dan rpp 1 lembar 2019/2020/2021 kelas xi xii semester 1 dan 2 pada tingkat smk/mak, di era covid 19 untuk semua sekolah sesuai himbauan pemerintah wajib melakukan pembelajaran daring walaupun sebagian tatap muka. Doc rpp pengantar ekonomi dan bisnis kurikulum. Berikut ini adalah modul ekonomi bisnis smk kurikulum 2013.
Bahasan menarik dari video download rpp administrasi humas dan keprotokolan kelas xi semester 1 dan 2 smk ini adalah download rpp bisnis online kelas xi paling seru!, buku bisnis online kelas 11 pdf, rpp bisnis online kelas xi smk kurikulum 2013, silabus bisnis online kelas xi kurikulum 2013 revisi 2017, rpp bisnis online smk kurikulum 2013.
Kompetensi inti kompetensi dasar silabus dan rpp smk terbaru revisi 2017 literasi pedagogi teknologi Silabus humas dan keprotokolan kelas xii kurikulum 2013 revisi guru ilmu. Administrasi humas dan keprotokolan satuan pendidikan : Rpp smk revisi 2017 rpp otomatisasi tata kelola humas dan keprotokolan kelas xi smk kurikulum 2013 revisi 2017 bidang keahlian bisnis dan manajemen program keahlian bisnis dan pemasaran kompetensi keahlian otomatisasi dan tata kelola perkantoran tahun pelajaran 2018 2019 terintegrasi dengan literasi, pendidikan penguatan karakter (ppk), 4c (communication, collaboration, critical thinking and. Jual cd rpp k13 smk mak produktif perkantoran revisi 2018 kab tasikmalaya danny99 shop tokopedia Doc rpp pengantar ekonomi dan bisnis kurikulum. Sedangkat tugas utamanya adalah sebagai berkut : Contoh rpp kurikulum 2013 matematika smp kelas 7 semester 1. Rpp kelas 7 smp kurikulum 2013 revisi 2017. Download juga rpp otomatisasi tata kelola keuangan kelas xii kurikulum 2013 smk revisi 2017 penyusun menyadari silabus otomatisasi tata kelola keuangan kelas xii smk kurikulum 2013 revisi 2017 ini masih jauh dari sempurna. Download rpp otomatisasi tata kelola humas dan keprotokolan smk kelas xi xii kurikulum 2013 revisi 2017 2018 semester 1 dan 2 jurusan perkantoran otkp. Download rpp 1 lembar smk kurikulum 2013 revisi 2017/2018/2019/2020/2021 kelas x xi xii semester 1 2 ganjil genap daring lengkap promes prota silabus Dalam menyusun rpp otomatisasi tata kelola humas dan keprotokolan kurikulum 2013 revisi 2017/2018 dan rpp 1 lembar 2019/2020/2021 kelas xi xii semester 1 dan 2 pada tingkat smk/mak, di era covid 19 untuk semua sekolah sesuai himbauan pemerintah wajib melakukan pembelajaran daring walaupun sebagian tatap muka.
Berbagi
Posting Komentar
untuk "Rpp Humas Dan Keprotokolan Kelas Xii Kurikulum 2013 Revisi - Download Buku Administrasi Humas Dan Keprotokolan Kelas Xii / Perangkat pembelajaran diantaranya adalah silabus berikut ini adalah pengertian silabus dan link download silabus sma kurikulum 2013 edisi revisi 2020 semua mata pelajaran wajib peminatan mipa ips bahasa dan lintas."
Posting Komentar untuk "Rpp Humas Dan Keprotokolan Kelas Xii Kurikulum 2013 Revisi - Download Buku Administrasi Humas Dan Keprotokolan Kelas Xii / Perangkat pembelajaran diantaranya adalah silabus berikut ini adalah pengertian silabus dan link download silabus sma kurikulum 2013 edisi revisi 2020 semua mata pelajaran wajib peminatan mipa ips bahasa dan lintas."